Electron. J. Differential Equations, Vol. 2018 (2018), No. 179, pp. 1-10.

Spectrum, global bifurcation and nodal solutions to Kirchhoff-type equations

Xiaofei Cao, Guowei Dai

Abstract:
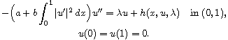
In this article, we consider a Dancer-type unilateral global bifurcation for the Kirchhoff-type problem
$$\displaylines{ 
 -\Big(a+b\int_0^1 | u'|^2\,dx\Big)u''
 =\lambda u+h(x,u,\lambda)\quad\text{in } (0,1),\cr
 u(0)=u(1)=0.
 }$$
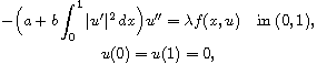
Under natural hypotheses on h, we show that $(a\lambda_k,0)$ is a bifurcation point of the above problem. As applications we determine the interval of $\lambda$, in which there exist nodal solutions for the Kirchhoff-type problem
$$\displaylines{
 -\Big(a+b\int_0^1 | u'|^2\,dx\Big) u''
 =\lambda f(x,u)\quad\text{in } (0,1),\cr
 u(0)=u(1)=0,
 }$$
where f is asymptotically linear at zero and is asymptotically 3-linear at infinity. To do this, we also establish a complete characterization of the spectrum of a nonlocal eigenvalue problem.

Submitted July 4, 2017. Published November 5, 2018.
Math Subject Classifications: 34C23, 47J10, 34C10.
Key Words: Bifurcation; spectrum; nonlocal problem; nodal solution.

Show me the PDF file (243 KB), TEX file for this article.

Xiaofei Cao
Faculty of Mathematics and Physics
Huaiyin Institute of Technology
Huaian 223003, China
email: caoxiaofei258@126.com
Guowei Dai
School of Mathematical Sciences
Dalian University of Technology
Dalian 116024, China
email: daiguowei@dlut.edu.cn

Return to the EJDE web page