Electron. J. Differential Equations, Vol. 2019 (2019), No. 32, pp. 1-29.

Bifurcation from the first eigenvalue of the p-Laplacian with nonlinear boundary condition

Mabel Cuesta, Liamidi A. Leadi, Pascaline Nshimirimana

Abstract:
We consider the problem
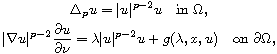
$$\displaylines{
 \Delta_{p}u =|u|^{p-2}u \quad\text{in }\Omega, \cr
 |\nabla u|^{p-2}\frac{\partial u}{\partial \nu}=\lambda|u|^{p-2}u
 + g(\lambda,x,u) \quad\text{on }\partial\Omega,
 }$$
where $\Omega$ is a bounded domain of $\mathbb{R}^{N}$ with smooth boundary, $N\geq 2$, and $\Delta_p$ denotes the p-Laplacian operator. We give sufficient conditions for the existence of continua of solutions bifurcating from both zero and infinity at the principal eigenvalue of p-Laplacian with nonlinear boundary conditions. We also prove that those continua split on two, one containing strictly positive and the other containing strictly negative solutions. As an application we deduce results on anti-maximum and maximum principles for the p-Laplacian operator with nonlinear boundary conditions.

Submitted July 19, 2018. Published February 21, 2019.
Math Subject Classifications: 35J92, 35J65, 35J60, 35B32, 35B50.
Key Words: Bifurcation theory; topological degree; $p$-Laplacian; elliptic problem; nonlinear boundary condition; maximum and anti-maximum principles.

Show me the PDF file (400 KB), TEX file for this article.

Mabel Cuesta
Laboratoire de Mathématiques Pures et Appliquées
Université du Littoral Côte d'Opale (ULCO)
50, rue F. Buisson, BP: 699
62228 Calais, France
email: cuesta-l@univ-littoral.fr
Liamidi Leadi
Département de Mathématiques, Faculté des Sciences et Techniques
Institut de Mathématiques et de Sciences Physiques (IMSP)
Université d'Abomey-Calavi (UAC)
01 BP 613, Porto-Novo, Benin
email: leadiare@imsp-uac.org, leadiare@yahoo.com
Pascaline Nshimirimana
Institut de Mathématiques et de Sciences Physiques (IMSP)
Université d'Abomey-Calavi (UAC)
01 BP 613, Porto-Novo, Benin
email: pascaline.nshimirimana@imsp-uac.org, nshimirimanapascaline@yahoo.fr

Return to the EJDE web page