FUNDAMENTALNAYA I PRIKLADNAYA MATEMATIKA

(FUNDAMENTAL AND APPLIED MATHEMATICS)

2002, VOLUME 8, NUMBER 1, PAGES 307-312

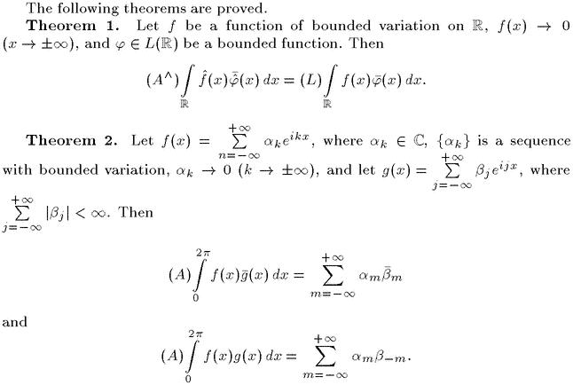
$ A^{\land} $-integration of Fourier transformations

Anter Ali Alsayad

Abstract

View as HTML     View as gif image    View as LaTeX source

Gif image of the abstract

All articles are published in Russian.

Main page Contents of the journal News Search

Location: http://mech.math.msu.su/~fpm/eng/k02/k021/k02124g.htm
Last modified: July 8, 2002