FUNDAMENTALNAYA I PRIKLADNAYA MATEMATIKA

(FUNDAMENTAL AND APPLIED MATHEMATICS)

2005, VOLUME 11, NUMBER 3, PAGES 57-78

Zinbiel algebras under q-commutator

A. S. Dzhumadil'daev

Abstract

View as HTML     View as gif image

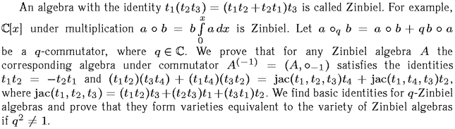
Gif image of the abstract

Main page Contents of the journal News Search

Location: http://mech.math.msu.su/~fpm/eng/k05/k053/k05304g.htm
Last modified: September 14, 2005